关于过度包装,你想知道的都在这里
文/中国包装
逢年过节,卖场中各种商品、礼品包装华丽精美,博人眼球。然而在精美包装的背后却隐藏着华而不实,严重的污染、浪费现象。
包装里的海绵、塑料泡沫,难以降解,带来各种污染问题。据统计,目前我国城市生活垃圾里有超过1/3是包装性垃圾,包装废弃物体积占固体废弃物的50%。
一些经过特别包装的商品,价格一般都是平常包装的几倍,甚至更高。但是,商品质量并没有什么两样。
那么,什么是过度包装?合理包装“难”在哪里?而对于过度包装,我国具体有哪些规定呢?我们如何检验检测?
Q1 什么是包装?什么是过度包装?
包装:为在流通过程中保护产品,方便储运,促进销售,按一定技术方法而采用的容器、材料及辅助物等的总体名称。
过度包装:超出正常的包装功能需求,其包装层数、包装空隙率、包装成本超过必要程度的包装。
Q2 我国有哪些法律法规和标准来约束过度包装行为呢?
为控制我国产品过度包装,避免资源浪费,国家及部分省市制定了相关的法律法规和标准来约束过度包装行为,如下:循环经济促进法固体废物污染环境防治法清洁生产促进法定量包装商品计量监督管理办法GB 23350-2009 限制商品过度包装要求 食品和化妆品GB/T 31268-2014 限制商品过度包装 通则 还有许多的地方要求,如《上海市商品包装物减量若干规定》、《南京市计量监督管理办法》等。
Q3 关于过度包装的限量要求有哪些?
我国现阶段商品过度包装,主要分为欺骗性包装和奢华性包装。欺骗性包装:包装内过多空位,包装与内容物的高度、体积差异过大。奢华性包装:包装成本远远超过产品的包装。对于控制过度包装主要从三个限量来要求。包装空隙率:下文详述。包装层数:除粮食包装层数≤2层外,其他食品包装层数≤3层。包装成本:除初始包装之外的所有包装成本的总和不应超过商品销售价格的20%。
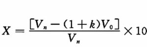
Q4 什么是包装空隙率呢?
按GB 23350-2009 限制商品过度包装要求 食品和化妆品的定义,包装空隙率 interspace ratio商品销售包装内不必要的空间体积与商品销售包装体积的比率。按GB 23350-2009 限制商品过度包装要求食品和化妆品,包装空隙率的计算公式:

X ——包装空隙率
Vn——商品销售包装体积的外切最小长方体体积
V0——商品初始包装的总体积k ——商品必要空间系数。在标准中取值为0.6
注解:
V0 初始包装,指直接与产品接触的包装。对于方便杯面这类既是销售包装,同时又是食用容器功能的产品包装,外包装纸杯视为初始包装,不计算其空隙率。
K:包装的作用不仅仅在于方便储运、促进销售,非常重要的一点,在于保护产品,这包括了需要有一定的空间用于缓冲或固定商品,这些空间构成了商品的必要空间,在GB 23350-2009 限制商品过度包装要求 食品和化妆品统一按照0.6来计算。
Q5 哪类包装容易导致包装空隙率过大?过度包装常见品类有哪些?
异形产品
异形产品的商品销售包装体积的外切最小长方体体积比实际销售包装体积要大许多,例如锥形或心型的商品,是以底部外切长方形为底面积乘以高度来计算。
包装中有赠品,但未在包装上标识
产品包装中的赠品,比如某些食用的辅助工具,如勺子、酒杯等,如与商品开启本身无关,又没有在标签中说明,则不计入商品初始包装总体积,也就是说,在商品销售包装中没有明示的产品,其所占体积不给与考虑,其目的是不鼓励在商品销售包装中附加不同类的其他产品,避免误导消费者的情况。
容易出现过度包装的产品主要有:与民生密切相关的茶叶、酒类、保健食品、化妆品等日常消费品和月饼、粽子等节日礼品。
Q6 关于生产经营过度包装产品的处罚?
目前,国家及地方过度包装相关法规后发现,国家对过度包装并没有专门的处罚措施,只有《中华人民共和国消费者权益保护法(主席令第十一号)》、《中华人民共和国标准化法(主席令第七十八号) 》等法律法规中对违反消费者权益或者生产、销售、进口产品或者提供服务不符合强制性标准的,要求依法追究相关责任。地方对过度包装有明确的处罚措施的也比较少,以上海市和南京市的相关规定为例:
《上海市商品包装物减量若干规定》中对过度包装处罚为:生产者违反强制性规定进行商品包装的,质量技术监督部门应当责令停止违法行为,限期改正。销售者销售违反强制性规定的商品的,质量技术监督部门应当责令停止销售,限期改正;拒不停止销售的,处二千元以上二万元以下罚款;情节严重的,处二万元以上五万元以下罚款。
《南京市计量监督管理办法》规定:违反本办法规定,生产、分装、销售定量包装商品时违法过度包装商品的,由计量行政主管部门责令限期改正,并处五千元以上一万元以下罚款。