钢桶生产线的设计(3)
杨文亮

三、钢桶自动生产线辅助装置
(一)输送装置
自动线采用输送装置的目的,在于将所配备的全部制桶工艺设备有机地联系起来而成为一个工作整体,它不单起着中间的传送作用,还能完成桶件和原材料的输入,以及钢桶成品和桶件或废料的输出。因此,输送装置的工作性能同样会影响全线的自动化程度,生产能力、产品质量、产品成本、操作条件和卫生安全等等。设计者必须根据工艺要求和总体布局合理地加以设计和选用。
生产线所用的输送装置按输送力的来源大体可分为重力式和动力式两大类。
1、重力式输送装置
重力式输送装置有滑槽、滚道和滑轮输送等。这类装置都是依靠桶件自身的重力或惯性力以克服滑槽或滑道的接触摩擦阻力而实现输送的,故结构简单,应用较广。但它只能向下输送,而且运动稳定性差,所以对自动线的工作节拍有严格要求的生产线,不宜直接采用。
(1)滑槽

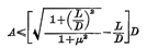
图7 桶件在滑槽中的变位情况
B-滑槽的内宽;L-桶件的长度(如桶身长度);A-桶件与通道内沿的间距;D-桶件宽度(如桶身直径);γ-桶件偏转角;φ-摩擦角;μ-摩擦系数
如图7为常见的滑槽设计图。这是桶件沿倾斜滑槽向下运动的情况。为使它顺利通过,滑槽的内宽必须加以适当控制,即图中A值的大小。如果A值过大,桶件容易在滑槽中倾斜(如图中虚线位置)卡在槽中;如果A值过小,因摩擦过大,使桶件运动不畅,容易受阻。通常情况下,A应符合下列条件:

滑槽的倾斜角也在满足一定的要求,倾斜角太小时,重力不足,也会造成运动不畅。通常情况下,倾斜角α应满足tgα>μ。
滑槽侧壁过高对桶件阻力大,而过低又影响运动的稳定性,所以从技术上来说,也需要一个合适的尺寸。一般情况下,常取侧壁高H=(0.25~0.35)D。
在滑槽转弯处要改变桶件的输送方向,转角段的几何尺寸关系如图8所示。图中R值应根据计算设计出最合理的尺寸。

图8 弯槽的几何关系
R-弯槽的外半径;B'-最大内宽;B-圆弧外的直线段槽内宽
通常情况下,滑槽转弯半径R应符合下列条件:

实用中,先选取B’值,再求算R值,并满足布局要求。圆弧以外的直线段其槽内宽也是B。这样,弯槽的内沿1-2部分弧线应以过渡曲线来代替。

重力滑槽实例
(2)重力滚道
图9所示的重力滚道常用于钢桶生产线的输送。

图9 重力滚道
当桶件沿重力滚道向下运动时,它与滚柱的接触部位和滚柱两端的轴承内部都存在着摩擦(滑动或滚动的)阻力。这些阻力都有碍于桶件受重力作用而向下运动。重力滚道的设计,其关键在于滚道的倾斜角β。通常情况下,β符合下列条件:

式中:K-与滚柱质量分布状况有关的系数,一般取为0.8~0.9;G-滚柱重;L-输送滚道的有效长度;k0-桶件对滚柱的滚动摩擦线性值(一般取0.5~0.6);Gw-单个桶件重量;β-滚道对水平面的倾斜角;D-滚柱的直径;μ-滚柱两端轴承的摩擦系统,滑动支承取0.15左右,滚动支承取0.015左右;d-滚柱轴颈的直径;Z-桶件同时接触的滚柱数。
合理确定和调整滚道的倾斜角是保证桶件依靠重力实现正确输送的基本条件。欲减少滚道倾斜角β,应使滚柱重G和滚柱轴颈的直径趋小,而滚柱的直径D趋大。
2、动力式输送装置
动力式输送装置不仅具有向下的输送能力,还有沿水平和向上的输送能力,输送速度可调节。典型的动力式输送装置大致有动力滚道、带式、链式、板链式输送机等。它们能驱动桶件作连续或间歇运动。
(1)链传动滚道输送装置
如图10为钢桶生产线上常见的链传动动力滚道。该滚道在钢桶立式输送中应用最多,常用于钢桶涂装生产线上的输入和输出。

图10 链传动滚道输送装置

链传动滚道输送实例
(2)带式输送装置
带式输送装置结构简单,工作可靠,造价低廉,适应性强。物别对工作节拍没有严格要求而且比较干燥的生产场所,可用于柔性或半柔性自动生产线。常见于桶底盖输送和封闭器输送等场合,也可用于钢桶成品的输出装卸。如图11为常见的带式输送装置。

图11 带式输送装置
带式输送装置一般由主从动滚轮、张紧轮、挠性带、托板(或托辊)、栏板(或栏杆)和驱动装置等组成。

皮带输送实例
(3)链式输送装置
如图12所示,链条架在导轨上,直接承载桶件。因无任何强制性推进元件,一般只适用于低速的水平输送。常用于桶身在柔性工序间输送,如卷圆机、点焊机、缝焊机设备间的输入和输出。

图12 链式输送装置

链式输送实例
如图13所示,链条架在导轨上,桶件被被放在托板上,借链条的推头推进,能始终保持一定的间距,有利于实现所需的工作节拍。常用于桶身成形设备间的间歇传送。

图13 推进式输送链

推进链输送实例

链条式推进输送实例
3、其他类型输送装置
在自动生产线上,有时利用桶件本身的种种特性,而采用特种形式的输送装置,以达到简单、可靠的工作效果。较常用的有磁性输送带等。
图14为磁性输送带工作原理图,紧靠着输送带的是按一定顺序排列的永久磁铁或者电磁铁。这样,可使某些导磁性和散落性都较强的小桶件受磁场作用,被吸附和增强它对输送带的接触摩擦力,从而能克服桶件的自重而向上提升。输送带常用较薄的氯丁橡胶制成,带速约为30~70m/min左右。常用于桶口件或封闭器零件的输送。

图14 磁性输送带工作原理图
相关链接:
钢桶全自动生产线实例解析
钢桶生产线设计(1)
钢桶生产线设计(2)
钢桶生产线设计(3)
钢桶生产线设计(4)
钢桶生产线设计(5)