|
钢桶卷边剖析
海南省金鼎实业发展总公司 丁进义
近年来有关钢桶卷边的文章很多。通过学术讨论使我们对钢桶卷边的认识不断地深化,对提高我国钢桶卷边质量是颇有好处的。笔者在此就卷边问题提出自己看法。
一、卷边基本概念
卷边最初的含义是:为了提高薄壁零件边缘刚性和强度,将其边缘卷曲的工作叫卷边,如图1所示。在手工制作铁水桶等日用杂品上,经常采用这种卷边。

图1 卷边图
本文所指的卷边实际上是一种咬合形式。咬合一般分为平面咬合和折角咬合。
平面咬合是把两块钢板的边缘(或一块板的两个边缘)折转扣合,并彼此压紧。平面咬合又称咬缝或咬口。这种咬缝较牢靠,不少地方代替了钎焊。在小桶(或小罐)生产中经常用在桶身(或罐身)两边的咬缝。
平面咬合分半咬和整咬。咬缝分立缝单扣、立缝双扣、卧缝挂扣,卧缝单扣、卧缝双扣等,如图2所示。

图2 平面咬合
桶身的咬缝主要是采用卧缝挂扣。卧缝单扣和卧缝双扣主要用在建筑上,如屋顶排水沟。折角咬合(如图3所示)是我们讨论的重点。

图3 折角咬合
钢桶卷边外形根据其用途不同可分为矩形、圆形、梯形、三角形等。根据重叠次数又分为二重卷边和三重卷边。
钢桶的卷边是桶身和桶顶底折角咬合的一种工序。通过滚压形式用若干个卷封轮将桶身和桶顶(底)咬合在一起达到设计所要求的结构和尺寸。一般要求卷边有一定的密封性,有良好的抗渗漏性能和抗冲击能力,从而,保证钢桶在运输、贮存中能承受各种形式的碰撞、跌落。过去由于我国钢桶卷边质量不过关造成渗漏事故,损失很大。近年来,各制桶厂努力学习和掌握先进的卷边技术,消化和吸收国际先进卷边技术使我国,钢桶卷边质量跨入国际先进行列。
二、卷边对金属材料的要求
卷边用金属板材必须有良好的可塑性。金属的可塑性是指在外力作用下金属,产生永久变形的能力。金属的塑性一般可由两个方面来反映,一个叫断面收缩率,另一个叫延伸率,分别用ψ和δ来表示。
ψ=[(F0-F1)/F0]×100%
式中:F0——拉伸前试件截面积;F1——拉断后试件截面积。
δ=[(L1-L0)/L0]×100%
式中:L0——拉伸前长度;L1——拉断后长度。
金属材料的ψ和δ的数值愈大,其可塑性愈好。塑性好的材料,容易进行各种加工如压延、弯曲、拉伸、卷曲等。
钢桶用材料推荐选用屈服强度与强度极限之比小于0.75的材料。
σs/σb<0.75
式中:σs——屈服强度;σb——强度极限。
对桶身和桶顶底材料要求也不尽相同。桶顶底材料要经杯凸试验。
在卷边过程中,钢桶桶身和桶顶底在外力作用下,卷边材料发生强化、再结晶、蠕变,残余内应力恢复、应力松驰等变化。
在塑性变形中,金属往往发生滑移或孪生,并以滑移为主。在外力作用下,桶身和桶顶底沿滚轮曲线卷曲,当外力超过滑移抗力,金属就发生滑移。滑移后金属硬化。当晶面滑移抗力继续增大,就停止滑移,如果再增大,晶体继续滑移,一旦变形无法进行,材料发生裂纹。因此,冲压成型时桶顶底圆角不能过小,卷封滚轮曲线弧也不能过小。
三、卷边内外规格要求
1.卷边外观要求
(1)卷边顶部要圆滑,无向内突起的起筋和碎裂。
(2)卷边下部光滑,无牙齿、铁舌、翻牙形、损伤、接缝卷边松动等缺陷。
①牙齿:指桶顶钩卷边不良,于卷边下部形成突起。
②铁舌:指卷边局部下垂,宽度超过卷边宽度1.2倍。
⑧翻牙形:指头道滚轮卷边不平整,造成第二道卷边形成V形缺口,卷边下部有轧伤痕迹。
④接缝卷边松动:指接缝部分,由于滚轮压力不足造成卷边松动。
2.卷边内部要求
(l)要求桶身钩和桶顶钩平服,无波浪形,上空隙Uc和下空隙Lc尽量小,如图4。

图4 卷边内部结构
(2)重叠率η:卷边内部桶身钩和桶顶底钩重叠率要超过45%以上。
η={(BH+CH+1.1tc-W)/[W-(2.6tc+1.1tb)]}×100%
式中:BH——桶身钩宽度(mm);CH——桶顶底钩宽度(mm);W——卷边宽度(mm);tc——桶顶底板厚度(mm);tb——桶身板厚度(mm)
四、卷边过程分析
卷边是钢桶生产最关键的工序。卷边质量的好坏直接关系到钢桶内在质量。影响卷边质量因素很多,诸如钢板机械性能和厚薄均匀度,桶身扳边尺寸多桶顶底边宽,填料的性能,填料饱满程度,干固程度和涂胶方法多封口机卷边轮工作曲线和磨损程度及封口机的调整情况等等。要获得理想卷边,首先必须要有好的卷封滚轮。为此做如下分析:
1.卷边过程中钢桶受力分析
在卷边过程中钢桶受到卷封滚轮轧制作用。从卷边形成过程中卷边的变化说明卷封滚轮对桶的作用力十分复杂。作用力大小、方向、作用位置等随时间而变化。精确地计算各时态下的受力及其变化情况比较困难。
卷边过程中卷封滚轮与桶凸缘的作用力系为一个空间作用力Po。其作用线垂直于工作表面接触轮廓线,沿空间X、Y、Z三个轴向分解为Px、Py、Pz三个分力。Px为周向分力,Py为径向分力多Pz为轴向分力。在卷边开始,卷封轮径向进给之初,Px和Py分力所占比值较大,Pz分力较小。Px和Py分力的大小随径向送进量S,卷封凸缘厚度的增大而增大,但Pz增大得缓慢些。随着径向进给位置不断地变化,Px、Py、Pz三个分力比例发生变化:Pz分力突然增大,Px和Py分力相对减少。这是因为桶身和桶顶底凸缘已发生卷曲变形。随着径向进给趋于终止,Px分力更趋减小。第二道卷封轮力的变化情况与第一道相似。在最后的滚挤压中,Px分力主要用于克服滚挤过程中滚轮与卷缝间相对转动的接触摩擦力。关于封桶中卷封滚压的卷封力P或Px、Py\Pz分力的理论计算式,目前尚末成熟。
2.卷边形成和卷封轮运动轨迹分析
钢桶卷边时,传动机构将桶身和桶顶底送上封口机工作台,工件旋转的同时卷封轮进行进给。首先是第一道卷封轮进行卷封作业,将桶身和桶顶底相叠卷曲成要求的形状。完成后自动撤离并立即进行第二道卷封作业。在凸轮作用下第二道卷封轮向中心径向送进,进行挤压,使已卷曲的凸缘向桶身贴合靠拢,最后成为紧密勾连的卷边。图5为二重卷边形成示意图。:图5a为第一卷封轮滚压开始和终了卷边状况图。图5b为第二道卷封轮滚压开始和终了卷边状况图。

图5 二重卷形形成示意图
在卷封边程中,卷封轮与桶顶间相对运动,桶与封口盘er起转动,卷封轮作径向进给。桶身转速是影响生产效率主要因素。滚轮进给速度应和桶转速相适应。桶每转一周,卷封滚轮径向送进量S可用下式表达:
S=(a1-a2)/nZ (mm/r)
式中:a1——卷封滚轮开始滚压作业时,滚轮中心到桶中心距离(mm);a2——卷封滚轮完成卷封作业时,滚轮中心到桶中心距离(mm);n——卷封轮径向推进a1-a2时,桶绕主轴转数(r);Z——同时做同一作业卷封滚轮个数。
应取n的最小值。通常取第一道卷封nmin≥2多第二道卷封nmin≥10. n大可以使卷边光整多n过大,特别是n>4以后,提高卷封质量不明显,反而影响生产能力.
实现径向进给的机械装置有多种。对装置的要求,首先应能满足卷封工艺要求,均匀而稳定地实现径向进给,便于进给量的调整和控制。此外还要求其结构简单、紧凑、加工方便等。可做卷封径向进给的机构,如:凸轮机构,偏心机构,差动偏心机构、连杆机构等。最常见的是凸轮机构和偏心机构。最近也有些采用液压机构。
3.卷封滚轮理想的卷封曲线分析
最理想的卷边形式应以圆卷边为主。钢桶圆卷边是指卷边外轮廓形状以圆形为主,实际的卷边外形往往不拘一格,有纯圆形、梯形、三角形等。
卷封轮是卷边滚封作业必不可少的工模具。通过卷封滚轮对桶身和桶顶底的强制卷曲,实现严密的咬合。为了使桶身和桶顶底在滚压中卷曲变形,卷封轮的设计必须使卷曲过程循序渐进,尽量减小变形阻力。卷封滚轮径向进给运动轨迹,见图6。图6a为一套卷封滚轮作卷边卷封时滚轮径向进给状况。卷封时总的径向进给距离对每一种规格桶应是定值。它分别由第一道卷封滚轮和第二道卷封滚轮甚至第三卷封滚轮完成。桶顶底预卷时其成型滚轮的径向进给不含在总的卷封径向进给距离之内。根据卷曲时变形程度和确保卷边质量,一般取第一道卷封滚轮径向进给距离为总的径向进给距离70-80%,而第二道卷封滚轮为20-30%.径向进给量S的大小,影响卷边质量及生产效率。为得到优良的卷封质量, S不宜选得过大。当Z=1时,用多段圆弧曲线圆滑相接而成。

图6 卷封轮径向进给运动轨迹
从理论上分析,卷边形成应从里层开始卷曲然后卷外层,即从大曲率向小曲率过渡。实际上钢桶的卷封只能从外层向里层过渡,即从小曲率到大曲率滑过渡。为了解决这个问题,卷封往往无法一次完成,要经过二次或三次卷封,即所谓二重或三重卷边。
简单的二重卷边,由于卷封要求不同,第一道和第二道卷封滚轮工作曲线也不同。第一道轮要求桶身和桶顶底凸缘滚压重叠互相咬合,使桶顶底凸缘周边被卷曲到桶身凸缘根部,其径向进给位移大,工作曲线槽狭窄而深,形状复杂。它是形成卷曲的主要滚轮。第二道卷封轮是将已经完成的卷曲继续滚挤压,使其成为双重卷曲接缝,因此其卷封曲线工作面是宽而浅的槽形,如图7所示。

图7 二重卷边滚轮曲线
在卷封过程中,由于卷封轮工作表面直接与桶身和桶顶底接触,滚挤辗磨,因此易因磨损、疲劳和胶合而失效,故卷封轮材料最好选用优质钢,合金钢或工具钢如,Cr12、9CrSi等。热处理硬度要达HRC60-62,保证工作面坚硬耐磨。表面光洁度推荐在△7以上。加工好工作曲线后,采取喷镍法可以大幅度提高其耐磨性。
获得理想的卷边必须有理想的卷边卷曲曲线。笔者认为最理想的圆卷边滚轮曲线是阿基米得螺线c它是?种等速螺线,是根据等速凸轮特性求出的曲线。
ρ=ρo+αθ
式中:ρ——极径;α——常数,和桶料厚度有关;θ——极角。
当ρo=0时,方程式变成ρ=αθ.这是卷边曲线方程。从卷边曲线方程式可以看到:θ=0时,ρ=O.当9连续增加时,ρ也按比例增加。θ每转2π时.ρ增加2πα,如图8所示。阿基米得螺线的一个特点就是通过极点0的射线截成长度相等的线段。这个特点正好可以满足板料厚度为定值的钢桶卷边基本要求。车床所用的三爪卡盘就是利用这个原理加工的。它可保证卡盘三爪同时伸缩并位于中心线上。

图8 阿基米德螺线
钢桶卷边中当层与层之间没有间隙时2πα=2b,式中b为钢桶壁厚。
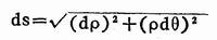
根据ρ=αθ方程式可以相应地绘制卷边曲线。其方法是对每一个极角计算出每个极径,取点,连接对应的ρ点成一曲线,即为理想卷边曲线。
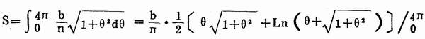
通过计算钢桶卷边曲线长度即可求出桶身翻边宽度和桶顶底边宽尺寸。卷封滚轮曲线长度可以用一个积分式计算,由极坐标和极坐标转换关系,可以推出极坐标的弧微分公式:

钢桶底盖卷边展开长度公式为:

桶身翻边尺寸为:

按照以上公式不难计算出桶身翻边尺寸和桶底盖边宽尺寸。
|